
Изучим новые формулы и новые условия расчетов. Расскажем об особенностях корректировки платы за 2018 год. И ответим на самые «горячие» вопросы.
С января 2019 года вступило в силу Постановление Правительства РФ №1708. Нормативный акт изменил Правила предоставления коммунальных услуг (Постановление Правительства №354-ПП) в части расчета стоимости отопления.
Новые правила предусматривают четыре варианта расчета за горячие батареи – в зависимости от наличия индивидуальных приборов учета и радиаторных распределителей. А также поделили отопление на общедомовое и индивидуальное (Sои, Sинд).
Большинство УК предпочитают пока игнорировать расчет по новым правилам – дескать, придет время корректировки, там и разберемся.
Конечно, собирать деньги по нормативу с квадратных метров намного выгоднее для управляющей организации. Ведь с поставщиками тепла она рассчитывается исходя из фактического потребления теплоэнергии. А разницу кладет в карман.
ВАЖНО ЗНАТЬ! Отказ исполнителя учитывать показания ИПУ по разным поводам, дескать, «такой расчет не предусмотрен программным обеспечением», «новый порядок расчета не изучен» или «мы не в курсе об изменении порядка расчета», неправомерен. Закон есть закон!
С помощью нашей инструкции «Новые правила расчетов за отопление в 2019 году» мы предлагаем собственникам самостоятельно разобраться, как теперь платить за отопление. Это поможет сэкономить бюджет тем, у кого дом оснащен радиаторными распределителями, у кого установлен индивидуальный прибор учета тепла, а также тем, кто демонтировал батареи и использует автономные источники для обогрева квартиры. Для тех же, кому продолжат считать по нормативу, напомним о том, как требовать корректировки платы за отопление.
ПОЧЕМУ ФОРМУЛЫ РАСЧЕТА ЗА ОТОПЛЕНИЕ РЕШИЛИ ПЕРЕСМОТРЕТЬ
В июле 2018 года Конституционный суд России вынес решение в пользу жителя многоквартирного дома из города Пушкино, который оспаривал плату за отопление по нормативу, так как в его квартире был установлен индивидуальный прибор учета. Дом полностью был оборудован индивидуальными счетчиками тепла. Но у кого-то сломался, кто-то демонтировал, а кто-то не передавал показания. В итоге собственнику отказывали в расчетах за тепло исходя из фактических показаний его ИПУ.
Мужчине пришлось обойти все судебные инстанции. И все, вплоть до Верховного суда РФ, отказывали ему со ссылкой на действующее Постановление №354-ПП. В Постановлении значилось: если в доме хотя бы одно из помещений не оснащено исправным ИПУ тепловой энергии, то в остальных помещениях расчет платы за отопление также не может вестись исходя из показаний индивидуальных приборов учета.
Однако Конституционный суд РФ такие доводы не принял. Суд решил, что такой подход нарушает принцип справедливости. 10 июля 2018 года КС признал не соответствующим Конституции РФ подход к расчету платы за тепло. Суд дал Правительству РФ указание внести изменения в ПП РФ №354, что и было сделано Постановлением Правительства от 28.12.2018 №1708.
С 1 января 2019 года расчет платы за отопление при исправном ИПУ должен производиться исходя из показаний такого прибора вне зависимости от наличия счетчиков в других помещениях МКД (абз. 4 п. 42(1) ПП РФ №354).
Решение КС РФ распространяется только на дома, введенные в эксплуатацию после 1 января 2012 года, в том числе после капремонта, и в которых все помещения были оборудованы ИПУ тепла, но их сохранность в некоторых квартирах не была обеспечена.
КРАТКИЙ ПЕРЕЧЕНЬ ОСНОВНЫХ ИЗМЕНЕНИЙ В РАСЧЕТЕ ПЛАТЫ ЗА ОТОПЛЕНИЕ В 2019 ГОДУ
Вот что изменилось в расчете за отопление в 2019 году:
• Отопление поделили на индивидуальное и общедомовое.
• Появились формулы для расчета неотапливаемых помещений и помещений с автономным отоплением (в которых демонтированы батареи).
• Индивидуальный расчет за тепло стало возможным проводить в МКД, лишь частично оборудованных индивидуальными счетчиками тепла (ИПУ).
• В формулах расчета платы за теплоснабжение появились новые величины: площадь мест общего пользования и объем потребления тепла путем суммирования данных, снятых с индивидуальных приборов учета тепла (ИПУ), либо установленных на батареях собственников радиаторных распределителей (РР).
ОСОБЕННОСТИ НАЧИСЛЕНИЯ ПЛАТЫ ЗА ОТОПЛЕНИЕ, ЕСЛИ ДОМ И КВАРТИРЫ ОСНАЩЕНЫ ПРИБОРАМИ УЧЕТА ТЕПЛА
Прежде чем самостоятельно посчитать, сколько теперь платить за горячие батареи, вам придется учесть следующие факторы:
1. В течение какого периода происходит расчет размера платы для вашего дома: в течение отопительного периода или в течение календарного года, то есть все 12 месяцев.
2. Установлен или нет в вашем доме общедомовой прибор учета тепловой энергии (ОДПУ).
3. Оборудована ли ваша квартира индивидуальным прибором учета тепла (теплосчетчиком при горизонтальной разводке отопительных систем) или радиаторными распределителями (при вертикальной разводке крепятся непосредственно на радиаторах).
4. Способ подачи тепловой энергии в многоквартирный дом. Подключен дом к центральным теплосетям или готовит горячую воду с использованием оборудования, входящего в состав общего имущества многоквартирного дома (индивидуальный теплопункт – ИТП – либо крышная котельная и т. п.).
Для удобства мы разбили информацию на подразделы. Ищите информацию о применяемых для расчета платы формулах в подразделе, соответствующем вашему типу дома и оборудования:
I. Дом не оборудован ОДПУ, плата за отопление начисляется в течение отопительного периода.
II. Дом не оборудован ОДПУ, плата за отопление распределена равными долями в течение всего календарного года (12 месяцев).
III. Дом оборудован ОДПУ, но индивидуальные приборы учета отсутствуют во всех жилых/нежилых помещениях.
IV. Дом оборудован ОДПУ, часть квартир оборудованы индивидуальными приборами учета тепла.
I. ДОМ НЕ ОБОРУДОВАН ОДПУ, ПЛАТА ЗА ОТОПЛЕНИЕ НАЧИСЛЯЕТСЯ В ТЕЧЕНИЕ ОТОПИТЕЛЬНОГО ПЕРИОДА
В домах, не оборудованных общедомовым прибором учета тепла, расчет за отопление осуществляется по нормативам.
Норматив – это вычисленное количество тепловой энергии, которая необходима для обогрева 1 кв. метра жилья в течение месяца. Поскольку температурный режим в разных регионах страны разный, нормативы устанавливают региональные власти. Величина норматива может зависеть и от типа жилья: деревянный барак, панельная пятиэтажка или кирпичная высотка 80-х годов постройки.
Формула расчета для домов, не оборудованных ОДПУ и ИПУ:
Площадь квартиры необходимо умножить на установленный норматив потребления тепловой энергии и умножить на тариф, установленный на тепловую энергию.
Pi = Si (площадь квартиры) х Nт (норматив потребления) х TT (тариф на тепловую энергию).
II. ДОМ НЕ ОБОРУДОВАН ОДПУ, ПЛАТА ЗА ОТОПЛЕНИЕ РАСПРЕДЕЛЕНА РАВНЫМИ ДОЛЯМИ В ТЕЧЕНИЕ ВСЕГО КАЛЕНДАРНОГО ГОДА (12 МЕСЯЦЕВ)
Особенность этой формулы расчета связана с применением коэффициента периодичности внесения потребителями платы за коммунальную услугу по отоплению. Коэффициент периодичности определяется путем деления количества месяцев отопительного периода в году на количество календарных месяцев в году.
Формула ежемесячного расчета тепла в течение календарного года:
Площадь квартиры умножить на норматив потребления тепловой энергии, умножить на коэффициент периодичности и умножить на тариф.
Pi = Si (площадь квартиры) х NT (норматив потребления) х K (коэффициент периодичности) х TT (тариф на тепловую энергию).
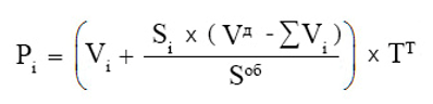
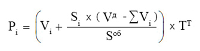
III. ДОМ ОБОРУДОВАН ОДПУ, НО ИНДИВИДУАЛЬНЫЕ ПРИБОРЫ УЧЕТА ОТСУТСТВУЮТ ВО ВСЕХ ЖИЛЫХ/НЕЖИЛЫХ ПОМЕЩЕНИЯХ
Счетчик теплоэнергии установлен на так называемом входе в многоквартирный дом. Его показания дают возможность понять, сколько тепла поступило в дом. Распределение в данном случае происходит пропорционально площади квартир. Для расчетов, согласно Правилам, понадобятся формулы №3 и №3(6).
Несмотря на устрашающий вид формулы, рассчитать плату за отопление можно и нужно следующим образом:

Где:
Pi – размер платы за отопление по квартире;
Si – общая площадь квартиры;
Sоб – общая площадь всех жилых и нежилых помещений, расположенных в многоквартирном доме. Ее размер можно узнать на сайте ГИС ЖКХ, уточнить в УК или посмотреть в платежной квитанции;
Vд – объем тепловой энергии по показаниям общедомового прибора учета, если расчет размера платы осуществляется в течение отопительного периода. Или исходя из среднемесячного объема тепловой энергии, определенного по показаниям общедомового прибора учета за предыдущий год. Эту информацию управляющая организация обязана предоставить собственнику по первому требованию;
TT – тариф на тепловую энергию. Его величина указывается в квитанции;
Vi – объем (количество) тепловой энергии, которое приходится на квартиру. А вот эту величину предстоит рассчитать по формуле №3(6). Приведем эту формулу ниже;
∑Vi – сумма объемов тепловой энергии, потребленной во всех жилых и нежилых помещениях, определенных по формуле №3(6). Смотрите чуть ниже.
Как рассчитать объем тепловой энергии, который приходится на вашу квартиру, – составляющую Vi:

Где:
Si – общая площадь вашей квартиры;
Sоб – общая площадь всех жилых и нежилых помещений, расположенных в многоквартирном доме;
Sои – общая площадь помещений, входящих в состав общего имущества (МОП);
Sинд – общая площадь жилых и нежилых помещений, расположенных в многоквартирном доме, в которых отсутствуют приборы отопления (радиаторы, батареи) или в которых применяются индивидуальные источники тепловой энергии;
Vд – объем тепловой энергии по показаниям общедомового прибора учета, если расчет размера платы осуществляется в течение отопительного периода. Или исходя из среднемесячного объема тепловой энергии, определенного по показаниям общедомового прибора учета за предыдущий год.
Чтобы рассчитать составляющую ∑Vi, нужно вычесть сумму объемов тепловой энергии, потребленной во всех квартирах. Для этого необходимо объем тепловой энергии, определенной по показаниям ОДПУ (Vд), разделить на общую площадь всего дома, в которую входят общая площадь всех жилых помещений и общая площадь помещений, входящих в состав общего имущества (Sоб+Sои), а затем умножить на общую площадь всех жилых помещений (квартир) (Sоб).
Теперь, когда известны все данные, применяем их к формуле №3:

IV. ДОМ ОБОРУДОВАН ОДПУ. ЧАСТЬ КВАРТИР ОБОРУДОВАНЫ ИНДИВИДУАЛЬНЫМИ ПРИБОРАМИ УЧЕТА ТЕПЛА (ИПУ)
Если многоквартирный дом оборудован общедомовым прибором учета тепла (ОДПУ) и хотя бы одно помещение в этом МКД оборудовано индивидуальным прибором учета (ИПУ) отопления, то показания такого ИПУ должны учитываться в расчетах собственника за отопление. Даже если это всего-навсего одна квартира на весь жилой дом.
Расчет будет складываться исходя из фактического потребления теплоэнергии квартирой и расчета за общедомовое отопление, которое уходит на обогрев подъездов. Итак, рассмотрим расчет за отопление для квартиры с ИПУ.
Для расчетов в доме, оборудованном ОДПУ, но при этом где некоторые квартиры имеют ИПУ, применяется ФОРМУЛА №3(1):

Где:
Pi – размер платы за отопление по квартире;
Si – общая площадь квартиры;
Sоб – общая площадь всех жилых и нежилых помещений, расположенных в многоквартирном доме;
Vд – объем тепловой энергии по показаниям общедомового прибора учета (ОДПУ), если расчет размера платы осуществляется в течение отопительного периода. Или исходя из среднемесячного объема тепловой энергии, определенного по показаниям общедомового прибора учета за предыдущий год;
TT – тариф на тепловую энергию;
Vi – объем тепловой энергии для помещений, оборудованных ИПУ. Ниже приведена формула для его расчета;
∑Vi – сумма объемов тепловой энергии, потребленной во всех жилых и нежилых помещениях многоквартирного дома.
Для помещений, не оборудованных индивидуальными приборами учета, плата за тепло рассчитывается по формуле №3(7):

Где:
Si – общая площадь квартиры;
∑VИПУ – сумма объемов тепловой энергии, потребленной по показаниям индивидуальных приборов учета, если размер платы за отопление осуществляется в отопительный период. Или исходя из среднемесячного объема тепловой энергии таких приборов учета, если расчет размера платы осуществляется в течение календарного года;
∑SiИПУ – сумма площадей помещений, оборудованных индивидуальными приборами учета тепловой энергии, которые участвуют в расчете.
ОСОБЕННОСТИ НАЧИСЛЕНИЯ ПЛАТЫ ЗА ОТОПЛЕНИЕ, ЕСЛИ В ДОМЕ УСТАНОВЛЕН ИНДИВИДУАЛЬНЫЙ ТЕПЛОПУНКТ (ИТП)
Сегодня большинство новостроек оборудовано автономными системами теплоснабжения.
В таких домах отсутствует централизованное теплоснабжение и горячее водоснабжение, а коммунальные услуги «отопление» и «горячее водоснабжение» производятся при помощи общедомового оборудования, которое входит в состав общего имущества собственников помещений такого многоквартирного дома.
Расчет платы за коммунальные услуги по отоплению и горячему водоснабжению в таких домах производится иначе, нежели в домах, запитанных от ТЭЦ.
При производстве коммунальных услуг по отоплению или горячему водоснабжению могут использоваться различные коммунальные ресурсы, такие как электрическая энергия, холодное водоснабжение, газ или иное топливо.
Плата рассчитывается по формулам №18 – для отопления и №20 – для горячего водоснабжения (Приложение №2 к Правилам).
Объем коммунального ресурса, использованного при производстве коммунальной услуги по отоплению, распределяется пропорционально размеру занимаемой общей площади жилого или нежилого помещения. Плата рассчитывается как произведение определенного для конкретного помещения объема и тарифа на соответствующий коммунальный ресурс.
Стоимость горячего водоснабжения складывается из двух составляющих: произведение объема горячего водоснабжения, потребленного в жилом или нежилом помещении, тарифа на холодное водоснабжение и объема коммунального ресурса, потребленного для подогрева холодного водоснабжения, который распределяется пропорционально потребленного объема горячей воды.
В приложении №2 формула №18 выглядит так:

Где:
Vvкр – объем (количество) коммунального ресурса (газ или иное топливо, электрическая энергия, холодная вода), использованного за расчетный период при производстве коммунальной услуги по отоплению;
Si – общая площадь жилого помещения (квартиры) или нежилого помещения в многоквартирном доме;
Sоб – общая площадь всех квартир и нежилых помещений в многоквартирном доме;
Tvкр – тариф (цена) на коммунальный ресурс (газ, электрическая энергия, холодная вода), использованный за расчетный период при производстве коммунальной услуги по отоплению, установленный в соответствии с законодательством.
Таким образом, плата за коммунальную услугу по отоплению при отсутствии централизованной системы теплоснабжения в доме рассчитывается по обычному принципу, в основе которого лежит распределение объема потребленного коммунального ресурса согласно занимаемой общей площади каждого помещения. жилого или нежилого.
К нежилым помещениям относятся различные помещения, можно сказать, коммерческого типа – магазины, офисы, кафе и так далее.
С расчетом горячего водоснабжения дела обстоят немного сложнее, чем с расчетом отопления, но и здесь, если разобраться, можно понять методику начисления платы.
Формула №20 Приложения №2 к Правилам выглядит так:

Где:
Vvгв – объем горячей воды, определенный за расчетный период в жилом/нежилом помещении в многоквартирном доме исходя из норматива потребления, показаний индивидуальных приборов учета или расчетного объема;
Tхв – тариф на холодную воду, использованную в расчетном периоде при самостоятельном производстве исполнителем коммунальной услуги по горячему водоснабжению;
Vvкр – объем коммунального ресурса (тепловая энергия, газ или иное топливо, электрическая энергия), использованный за расчетный период на подогрев холодной воды при самостоятельном производстве исполнителем коммунальной услуги по горячему водоснабжению;
Tvкр – тариф (цена) на коммунальный ресурс, использованный за расчетный период при производстве коммунальной услуги по горячему водоснабжению.
Подводя итог порядка расчета размера платы за горячее водоснабжение при отсутствии централизованной системы ГВС, отметим: оплата производится за объем горячей воды, потребленной в помещении, по цене ХВС, плюс дополнительно начисляется плата за подогрев этой холодной воды до температуры ГВС.
Расходы на содержание и ремонт оборудования, которое используется для производства коммунальных услуг по отоплению и горячему водоснабжению, не включаются в плату за указанные услуги. Они оплачиваются за счет строки в квитанции по содержанию и текущему ремонту жилья.
КАК ПРОИЗВОДИТСЯ КОРРЕКТИРОВКА ПЛАТЫ ЗА ОТОПЛЕНИЕ ПО ИТОГАМ 2018 ГОДА
Согласно принятым изменениям в жилищное законодательство, коммунальщикам дали право проводить корректировку в любое время года.
Раньше корректировка проводилась в I квартале текущего года за прошлый год. Теперь управляющая организация сама определяет период, когда сделать перерасчет. Но это должно происходить не реже одного раза в год.
Решение Конституционного суда РФ состоялось 10 июля прошлого года. Следовательно, корректировать размер платы за отопление в 2018 году придется с использованием сразу двух формул: старой и новой.
Чтобы правильно произвести корректировку платы за отопление за 2018 год в домах, где не во всех помещениях сохранены индивидуальные приборы учета тепловой энергии, исполнитель КУ должен:
– за период до 10 июля 2018 года использовать старую формулу №3(2) из Приложения №2 к ПП РФ №354;
– за период с 10 июля по 31 декабря 2018 года использовать формулу №3(3) из Приложения №2 ПП РФ №354, подставив в нее либо показания ИПУ, либо рассчитанную величину, производную от норматива, а не сам норматив.
Рассчитать такую величину для помещения без рабочего счетчика можно: умножив норматив потребления на площадь помещений собственников; разделив результат на сумму площадей всех помещений в доме, в том числе общего имущества МКД; умножив получившуюся удельную величину на площадь конкретного помещения, где не сохранился ИПУ.
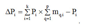
КАК ПРОВОДИТЬ КОРРЕКТИРОВКУ ДЛЯ КВАРТИР, ОБОРУДОВАННЫХ РАДИАТОРНЫМИ РАСПРЕДЕЛИТЕЛЯМИ
Если дом оборудован ОДПУ, а не менее 51% квартир в доме оборудованы радиаторными распределителями, расчет за отопление таких квартир может корректироваться. Однако расчет размера платы при наличии распределителей несколько отличается от расчета по индивидуальным приборам учета.
По распределителям, как правило, не производится ежемесячный расчет размера платы за отопление. Их показания учитываются один раз в год (или чаще, если такое решение принято на общем собрании собственниками, членами товарищества или кооператива) – при корректировке размера платы за отопление.
Корректировка размера платы производится лишь в рамках суммы, начисленной по показаниям общедомового прибора учета по всем квартирам, в которых установлены распределители.
То есть использование распределителей тепла совсем не означает для потребителя по факту оплату только за отопление, предоставленного в своем помещении. Начисленная по общедомовому прибору учета сумма все равно будет включать в себя тепловую энергию, потребляемую в местах общего пользования многоквартирного дома, а распределение платы производится только между потребителями в помещениях, в которых установлены распределители. В том объеме тепловой энергии, которая на них пришлась согласно показаниям ОДПУ.
Для расчета применяется формула №6 Приложения №2 Правил:

Где:
Pi – размер платы за предоставленную коммунальную услугу по отоплению в i-м оборудованном распределителями жилом помещении (квартире) или нежилом помещении в многоквартирном доме за период, за который проводится корректировка;
k – количество оснащенных распределителями жилых помещений (квартир) и нежилых помещений в многоквартирном доме;
p – количество распределителей, установленных в i-м квартире или нежилом помещении в многоквартирном доме;
mq.i – доля объема потребления коммунальной услуги по отоплению, приходящаяся на q-й распределитель, установленный в i-м квартире или нежилом помещении, в объеме потребления коммунальной услуги по отоплению во всех оборудованных распределителями квартирах и нежилых помещениях в многоквартирном доме;
Σ – сумма определенных показателей.
ОТВЕТЫ НА «ГОРЯЧИЕ» ВОПРОСЫ
1. Решил оснастить квартиру ИПУ. Технические характеристики дома позволяют. Управляющая компания не хочет принимать заявку на ввод в эксплуатацию. Правомерна ли такая позиция?
Исполнитель коммунальной услуги не имеет права отказать во вводе в эксплуатацию индивидуальных счетчиков отопления или радиаторных распределителей. Ввести ИПУ в эксплуатацию управляющая организация должна не позднее чем через месяц начиная с даты подачи заявки.
Если речь идет об индивидуальных приборах учета (ИПУ), начисление платы за отопление проводится с учетом показаний начиная с первого числа месяца, следующего за датой ввода в эксплуатацию.
2. В квартире слишком жарко. Хотим демонтировать батареи. Значит ли это, что отпадет необходимость платить за отопление?
Прежде всего стоит учесть, что, в соответствии с ч. 1 ст. 25 и ст. 26 ЖК РФ, установка, замена, перенос или демонтаж инженерных сетей, санитарно-технического, электрического или другого оборудования должны проводиться с соблюдением требований законодательства по согласованию с органом местного самоуправления.
При положительном согласовании собственник обязан уведомить о проведенном переустройстве внутриквартирных коммуникаций управляющую организацию. Так как от этого будет зависеть расчет вашей платежки по отоплению.
В связи с новыми правилами расчета за отопление при автономном обогреве жилья или демонтаже радиаторов вы будете платить 0 рублей за объем теплоэнергии, потребляемой из централизованной системы на отопление непосредственно вашей квартиры.
Но за вами сохраняется обязанность оплачивать объем тепловой энергии, потраченной на общедомовые нужды – подъезды, колясочные, лифтовые холлы, лестничные пролеты и прочие места внутри дома, где установлены радиаторы отопления.
ВАЖНО ЗНАТЬ! КС РФ в п. 1.1 (№46-П) своего решения отметил, что отключение отдельных помещений дома от системы централизованного отопления не прекращает потребление собственником такого помещения тепловой энергии на общедомовые нужды. Потребитель, отключивший централизованное отопление в квартире, может не платить за него внутри помещения, но должен платить за отопление, потраченное на содержание общего имущества собственников.
3. Коммунальные платежки выставляет Единый расчетный центр. Пришла завышенная за отопление. Позвонил в УК. Отправили разбираться в ЕРЦ. Это законно?
Нет, незаконно. Исполнитель коммунальной услуги может привлекать организации для начисления платы за коммунальные услуги и доставки коммунальных квитанций (ЕРЦ, РКЦ и т. п.).
Однако ответственность за правильность расчетов продолжают нести исполнители услуг. Будь то УК, ТСЖ, ЖСК или непосредственно ресурсоснабжающая организация.
Именно исполнитель услуг обязан производить по запросу потребителя проверку правильности начисления, задолженности или переплаты. И немедленно по результатам проверки выдавать потребителю документы, содержащие правильно начисленные платежи. Выдаваемые потребителю документы по его просьбе должны быть заверены подписью руководителя и печатью исполнителя. Так гласит п. п. «д» п. 31 Правил №354-ПП.
Предлагать потребителю обращаться за проверкой правильности начислений в Расчетный центр исполнитель услуги права не имеет. Кроме того, именно исполнитель услуги (а вовсе не его платежный агент!) при нарушении порядка расчета платы за коммунальные услуги обязан оплатить штраф в пользу потребителя (ч. 6 ст. 157 ЖК РФ, п. 155.2 Правил 354).
4. В нашем доме крышная котельная. Как у нас изменится порядок оплаты за отопление?
Дома, в которых тепловая энергия производится с помощью внутридомового оборудования, как и в 2018 году, рассчитывают плату за отопление по формуле №18 Приложения №2 ПП РФ №354 (если не все помещения оборудованы ИПУ) либо по формуле №18 (1) Приложения №2 ПП РФ №354 (если все помещения оборудованы ИПУ).
22 февраля 2019 года на этот счет было выпущено письмо Минстроя РФ, в котором ведомство объяснило, на какие МКД не распространяется ПП РФ №1708. Повторимся: это дома с децентрализованной системой отопления и горячего водоснабжения, в которых отсутствует централизованное теплоснабжение.
5. Если я не сдаю данные ИПУ тепловой энергии, могу ли я впоследствии требовать перерасчета за отопление?
Перерасчет возможен за весь период отсутствия периодических показаний, если у вашего ИПУ не истек срок эксплуатации и не нарушен межповерочный интервал. Передавать показания ИПУ – это право, а не обязанность потребителя.
При этом помните: управляющая компания или ресурсник (в зависимости от того, кто выставляет плату) имеют право проверить исправность вашего прибора учета тепла. Если ИПУ исправен, пломбы не повреждены, срок поверки не истек, плата будет пересчитана.
Анна Пт, 09 июля 2021.
Редакция Домового > Анна Вт, 13 июля 2021.
На сегодняшний день нет нормативно-правового акта, который регулирует порядок перерасчета по причине изменения площади при изготовлении технического паспорта. Поэтому возникает множество споров, которые разрешаются только в судебном порядке. При этом нет единого подхода в определении периода, за который происходит перерасчет.
Существует Положение о порядке перерасчета квартирной платы и платы за коммунальные услуги, утвержденное указанием Госкомитета ЖКХ РСФСР от 30.12.1983 N С-2784, но и его применение в судебной практике происходит также неоднозначно.
Сейчас действуют "Правила предоставления коммунальных услуг собственникам и пользователям помещений в многоквартирных домах и жилых домов", утвержденные постановлением Правительства РФ от 06.05.2011 №354, в которых есть только обязанность потребителя информировать исполнителя об увеличении или уменьшении числа граждан, проживающих (в том числе временно) в занимаемом им жилом помещении (подпункт «з» пункта 34 правил №354), но не об изменении площади жилья.
Учитывая изложенное, полагаем, что, несмотря на всю неоднозначность судебной практики, шансы отстоять свои права в суде для перерасчета за предыдущий период (но только период, в течение которого непосредственно Вы были собственником) у вас есть.
Анна > Редакция Домового Вт, 20 июля 2021.
Константин Вс, 13 декабря 2020.
Редакция Домового > Константин Пт, 25 декабря 2020.
Постановление Правительства РФ от 06.05.2011 №354 "О предоставлении коммунальных услуг собственникам и пользователям помещений в многоквартирных домах и жилых домов" Размер платы за коммунальную услугу по отоплению в жилом или нежилом помещении в многоквартирном доме, который оборудован коллективным (общедомовым) прибором учета тепловой энергии и в котором все жилые и нежилые помещения оборудованы индивидуальными и (или) общими (квартирными) приборами учета рассчитывается по Формуле №3(3).
При отсутствии показаний общедомового прибора учета за предыдущий год среднемесячный объем потребления тепловой энергии определяется исходя из норматива потребления коммунальной услуги по отоплению.
Владимир Ср, 05 августа 2020.
Редакция Домового > Владимир Пн, 31 августа 2020.
Согласно пункту 42(1) Правил №354 в многоквартирном доме, который не оборудован коллективным (общедомовым) прибором учета тепловой энергии, размер платы за коммунальную услугу по отоплению определяется исходя из норматива потребления коммунальной услуги по отоплению.
Конституционный суд РФ в своём определении КС РФ № 1007-О подтвердил законность расчёта платы за тепло при наличии ИПУ у жителя и отсутствии ОДПУ в МКД по нормативу.
Конституционный суд РФ подчеркнул, что оспариваемая норма призвана стимулировать потребителей к установке и ОДПУ, и ИПУ для определения фактического расхода энергии, и, следовательно, не может расцениваться как нарушающая конституционные права.
Согласно ст. 3 Федерального закона № 185-ФЗ и п. 2.4.2 Правил №170, установка ОДПУ относится к работам по капитальному ремонту многоквартирных домов и осуществляется за счёт средств соответствующего фонда.
Если собственниками до 01 января 2019 года не выполнена обязанность по оснащению МКД ОДПУ, то обязанность установить приборы учета возлагается в соответствии с п. 9 ст. 13 Закона № 261 на ресурсоснабжающие организации (РСО).
Мария Чт, 23 июля 2020.
Владимир Вт, 23 июня 2020.
Пояснение к заявлению в ЖКК и Э (Малков В.А., Сургут, Югорская, 40)
Для пояснения проблемы с подходом к ежемесячному нормативу потребления тепловой энергии по формуле 3(7) Постановления Правительства РФ от 06.05.2011 №354 (ред. от 22.05.2019) рассмотрим следующую максимально упрощенную ситуацию.
Предположим, что МКД состоит всего из двух одинаковых квартир и первая оснащена ИПУ тепла, а вторая, хотя и имеет счётчик, но по отчётности собственника – нет, то есть показания никогда не передает. Для простоты демонстрации примем, что прошлый год по потреблению тепла был точно такой же. Площадь каждой из квартир 100 кв.м. Площадь отапливаемых МОП (коридор, лестничная площадка, тамбур и тп) составляет 20 кв.м. Причём, первая квартира экономит тепло и потратила за конкретный месяц по счётчику 1 Гкал. Вторая квартира за счёт увеличенной площади приборов отопления, установки их на балконах, регулярно открытых окон и тп потратила 5 Гкал по своему счётчику, но показания сознательно никогда не передаёт. Общедомовой счётчик показал 6.4 Гкал.
По действующей методике РКЦ начислит второй квартире также 1 Гкал за жилую площадь и обеим квартирам по 2.2 Гкал за МОП. И ни секунды не задумается, что 4.4 Гкал на 20 кв.м. МОП – это нонсенс.
Таким образом, вторая квартира оплатит за 3.2 Гкал, а должна была за 5.2 Гкал, то есть в 1.625 раза меньше фактического потребления. Оплатить разницу в 2 Гкал вынуждена будет первая квартира, которой также РКЦ начислит расход в 3.2 Гкал вместо 1.2 Гкал =1 + 0.2. То есть, первая квартира оплатит в 2.66 раза больше положенного.
Абсурдность формулы 3(7) наглядно проявляется, если действия собственников квартир поменять местами. То есть, если вторая квартира передала показания 5 Гкал, а первая не передает никогда, то получится по формуле 3(7), что сумма двух квартир равна 10 Гкал, что больше примерно в 1.5 раза общедомового счётчика. При этом коридор будет как бы генерировать тепло. Нонсенс!
Прошу рассмотреть следующий подход к формированию новой формулы 3(7). Предлагается норматив потребления тепловой энергии
Редакция Домового > Владимир Пт, 26 июня 2020.
Вы совершенно правы по поводу абсурдности действующих формул. Так как Правила предоставления коммунальных услуг вместе с формулами расчета платы за отопление по ИПУ тепла с учетом доли квартир на отопление общих помещений в МКД утвердило Правительство РФ (а разрабатывал их Минстрой), то логичным видится обращение по обоснованности применения формул в приемную Правительства РФ по адресу: 103274, Москва, Краснопресненская набережная, дом 2. Обращение в адрес Правительства РФ можно направить также в электронном виде через официальный интернет-портал http://services.government.ru/letters/.
Что касается судебных органов, то если «не Верховный Суд РФ» - тогда остается обращение только в Конституционный, апеллируя к тому что в Правилах расчета за отопление нарушены общие принципы справедливости.
Алексей Ср, 13 мая 2020.
редакция Домового > Алексей Пт, 15 мая 2020.
Установленный общедомовой прибор ОДПУ должен быть введён в эксплуатацию не позднее месяца, следующего за датой его установки (п.3 ст. 13 Закона Об энергосбережении). Надлежащая эксплуатация ОДПУ (осмотры, техническое обслуживание, поверка приборов учета и т. д.) производится УК в составе работ по содержанию и ремонту общего имущества МКД (пп. «к» п. 11 Правил содержания). Неисполнение этой обязанности является нарушением лицензионных требований, за которое УК может быть привлечена к ответственности и даже лишена лицензии на управление МКД.
Также, согласно ч. 4 ст. 9.16 КоАП Несоблюдение лицами, ответственными за содержание многоквартирных домов, требований энергетической эффективности, предъявляемых к многоквартирным домам, требований их оснащенности приборами учета используемых энергетических ресурсов, требований о проведении обязательных мероприятий по энергосбережению и повышению энергетической эффективности общего имущества собственников помещений в многоквартирных домах влечет наложение административного штрафа на должностных лиц в размере от пяти тысяч до десяти тысяч рублей; на лиц, осуществляющих предпринимательскую деятельность без образования юридического лица, - от десяти тысяч до пятнадцати тысяч рублей; на юридических лиц - от двадцати тысяч до тридцати тысяч рублей.
В п. 81 (9) ПП РФ № 354 указано, что ввод приборов учёта в случаях, предусмотренных документом, осуществляется исполнителем без взимания платы. Исполнитель обязан начиная с 1-го числа месяца, следующего за месяцем ввода прибора учёта в эксплуатацию, осуществлять расчёт размера платы за соответствующий вид коммунальной услуги исходя из показаний этого прибора учёта (разд. 7 постановления Правительства РФ от 06.05.2011 № 354). В пунктах 81, 81(1)-81(9) документа подробно изложено, кто и как вводит ОДПУ в эксплуатацию. Например, согласно п. 81(2) прибор учёта управляющая организация вводит в эксплуатацию без участия РСО, а согласно п. п. 81(3), 81(6), РСО вводит прибор учёта без участия управляющей организации.
В случае, если УК бездействует, отказывается вводить прибор ОДПУ в эксплуатацию, жильцам необходимо подать жалобу в ГЖИ и прокуратуру со ссылкой на нарушение УК лицензионных требований, и потребовать привлечь УК к ответственности по ч.4 ст. 9.16 КоАП
Излишне оплаченные деньги можно взыскать через суд, если УК не вернёт денежные средства добровольно.
Алексей > редакция Домового Пн, 18 мая 2020.
Владимир Пт, 24 апреля 2020.
Последние правки по формулам к расчёту при частичном оснащении ИПУ , видимо, сделаны с допущением, что все квартиры одинаковы по оснащению приборами обогрева и теплопотерям. А это даже в одинаковых квартирах хрущёвок не могло состоятся. Что уж говорить про современные индивидуальные проекты с отоплением балконов и регуляторами температуры.
Смотрите, что получилось с формулой 3(7): удовлетворили просьбу учета квартирного счетчика, но при этом совершенно диким образом назначили способ определения потребления для квартир и ИП в этом же доме. А именно, по среднему от добросовестных квартир со счётчиками. То есть, без счётчиков можно тратить без ограничения, то есть проветривать, обогревать балконы, наращивать свои батареи. А платить они будут как те, кто следит за своим потреблением и платит за квартиру по своему счётчику.
Огромный перерасход квартирами без счётчиков, о ужас!, оплачивается добросовестными потребителями из общедомовых расходов. Многие заметили, что места общего пользования часто больше по оплате, чем квартира.
Правительство таким подходам в формуле 3(7) выхолостило саму идею экономии и смысла учета тепла. Это настоящая медвежья услуга со стороны Правительства: учли индивидуальный счётчик, но не продумали начисление для квартир без счётчиков в этом же доме. И таким образом заставили платить добросовестных и обеспечили безнаказанность транжир энергии.
Варианты оптимизации есть, и они совершенно простые. Например, распределять неучтёное квартирами тепло пропорционально неохваченной ИПУ площади. А приходящуюся на МОП тепло уже делить между всеми по тому же принципу. Тогда квартиры без счётчиков будут платить больше, если будут транжирить тепло. Это же сподвигнет их устанавливать счётчики и экономить.
Необходима социальная справедливость.
редакция Домового > Владимир Пт, 15 мая 2020.
Расчет платы за отопление в многоквартирных домах производится по правилам, утвержденным Постановлением Правительства РФ от 06.05.2011 № 354
Согласно внесенным с 1 января 2019г., изменениям, жильцы многоквартирных домов с общедомовым прибором учёта по отоплению, установившие в своих квартирах индивидуальные счётчики по отоплению, смогут рассчитываться по их показаниям независимо от того, есть ли такие счётчики в других квартирах. Для остальных собственников, в квартирах которых нет счётчиков , плата за отопление будет рассчитана по средним показаниям индивидуальных приборов учёта по отоплению в квартирах многоквартирного дома.
Потребителям пока не удалось отменить несправедливую, на их взгляд, формулу расчета платы за отопление в МКД с ОДПУ теплоэнергии, но в которых ИПУ тепла при этом есть далеко не у всех
(HYPERLINK "https://www.garant.ru/files/7/9/1287897/reshenie_verhovnogo_suda_rf_ot_19_iyunya_2019_g___akpi19_260.rtf" Решение Верховного Суда Российской Федерации от 19 июня 2019 г. № АКПИ19-260).
ВС РФ отказал заявителю. Подробно рассматривать все доводы заявителя суд не стал, ограничившись следующим общим наблюдением:
показатели спорных формул соответствуют жилищному, гражданскому законодательству, а также законодательству в сфере теплоснабжения, об энергосбережении;
дифференцированное правовое регулирование по установлению порядка определения размера платы за коммунальную услугу по отоплению с учетом оборудования МКД индивидуальными и общими приборами учета не противоречит принципам регулирования цен (тарифов) в сфере теплоснабжения. Нормативного правового акта, имеющего большую юридическую силу, устанавливающего иные правила определения количества полученной тепловой энергии, а также порядок расчетов за нее, не имеется;
доводы административного истца о том, что при применении спорных формул платеж за тепловую энергию больше, чем без применения показаний ИПУ, не могут служить основанием для удовлетворения заявленных требований. А если ему УК неправильно подсчитала сумму платежа – так он вправе обратиться в суд за защитой нарушенных либо оспариваемых прав, свобод или законных интересов в порядке гражданского судопроизводства.
Владимир Чт, 23 апреля 2020.
Огромный перерасход квартирами без счётчиков, о ужас!, оплачивается добросовестными потребителями из общедомовых расходов. Многие заметили, что места общего пользования часто больше по оплате, чем квартира.
Правительство таким подходам в формуле 3(7) выхолостило саму идею экономии и смысла учета тепла. Это настоящая медвежья услуга со стороны Правительства: учли индивидуальный счётчик, но не продумали начисление для квартир без счётчиков в этом же доме. И таким образом заставили платить добросовестных и обеспечили безнаказанность транжир энергии.
Варианты оптимизации есть, и они совершенно простые. Например, распределять неучтёное квартирами тепло пропорционально неохваченной ИПУ площади. А приходящуюся на МОП тепло уже делить между всеми по тому же принципу. Тогда квартиры без счётчиков будут платить больше, если будут транжирить тепло. Это же сподвигнет их устанавливать счётчики и экономить.
Необходима социальная справедливость.
редакция Домового > Владимир Пт, 15 мая 2020.
Расчет платы за отопление в многоквартирных домах производится по правилам, утвержденным Постановлением Правительства РФ от 06.05.2011 № 354
Согласно внесенным с 1 января 2019г., изменениям, жильцы многоквартирных домов с общедомовым прибором учёта по отоплению, установившие в своих квартирах индивидуальные счётчики по отоплению, смогут рассчитываться по их показаниям независимо от того, есть ли такие счётчики в других квартирах. Для остальных собственников, в квартирах которых нет счётчиков , плата за отопление будет рассчитана по средним показаниям индивидуальных приборов учёта по отоплению в квартирах многоквартирного дома.
Потребителям пока не удалось отменить несправедливую, на их взгляд, формулу расчета платы за отопление в МКД с ОДПУ теплоэнергии, но в которых ИПУ тепла при этом есть далеко не у всех
(HYPERLINK "https://www.garant.ru/files/7/9/1287897/reshenie_verhovnogo_suda_rf_ot_19_iyunya_2019_g___akpi19_260.rtf" Решение Верховного Суда Российской Федерации от 19 июня 2019 г. № АКПИ19-260).
ВС РФ отказал заявителю. Подробно рассматривать все доводы заявителя суд не стал, ограничившись следующим общим наблюдением:
показатели спорных формул соответствуют жилищному, гражданскому законодательству, а также законодательству в сфере теплоснабжения, об энергосбережении;
дифференцированное правовое регулирование по установлению порядка определения размера платы за коммунальную услугу по отоплению с учетом оборудования МКД индивидуальными и общими приборами учета не противоречит принципам регулирования цен (тарифов) в сфере теплоснабжения. Нормативного правового акта, имеющего большую юридическую силу, устанавливающего иные правила определения количества полученной тепловой энергии, а также порядок расчетов за нее, не имеется;
доводы административного истца о том, что при применении спорных формул платеж за тепловую энергию больше, чем без применения показаний ИПУ, не могут служить основанием для удовлетворения заявленных требований. А если ему УК неправильно подсчитала сумму платежа – так он вправе обратиться в суд за защитой нарушенных либо оспариваемых прав, свобод или законных интересов в порядке гражданского судопроизводства.
Татьяна Пн, 09 декабря 2019.
Губка Боб Иванович > Татьяна Ср, 05 февраля 2020.
Согласно п 59(1) ПП РФ №354 Плата за коммунальную услугу, предоставленную на общедомовые нужды за расчетный период, с учетом положений пункта 44 настоящих Правил, определяется исходя из рассчитанного среднемесячного объема потребления коммунального ресурса, определенного по показаниям коллективного (общедомового) прибора учета за период не менее 6 месяцев (для отопления - исходя из среднемесячного за отопительный период объема потребления), а если период работы прибора учета составил меньше 6 месяцев, - то за фактический период работы прибора учета, но не менее 3 месяцев (для отопления - не менее 3 месяцев отопительного периода) - начиная с даты, когда вышел из строя или был утрачен ранее введенный в эксплуатацию коллективный (общедомовой) прибор учета либо истек срок его эксплуатации, а если дату установить невозможно, - то начиная с расчетного периода, в котором наступили указанные события, до даты, когда был возобновлен учет коммунального ресурса путем введения в эксплуатацию соответствующего установленным требованиям коллективного (общедомового) прибора учета, но не более 3 расчетных периодов подряд.
Использование норматива при расчёте платы за отопление незаконно.
Дмитрий Пт, 15 ноября 2019.
Павел К. Вт, 30 июля 2019.
Губка Боб Иванович > Павел К. Ср, 05 февраля 2020.